黑料网 翻译研究团队在机器翻译 文本特征的研究上取得突破
黑料网 举行汉语国际教育硕士专业学位点专家论证会
黑料网 邀请高端国际专家开展学术活动
时代之声,不负韶华——外院人居数统金禾联队荣获第37届“中华之声”二等奖
第三届 C9 高校“研究生学术英语教学与研究”主任论坛成功举办
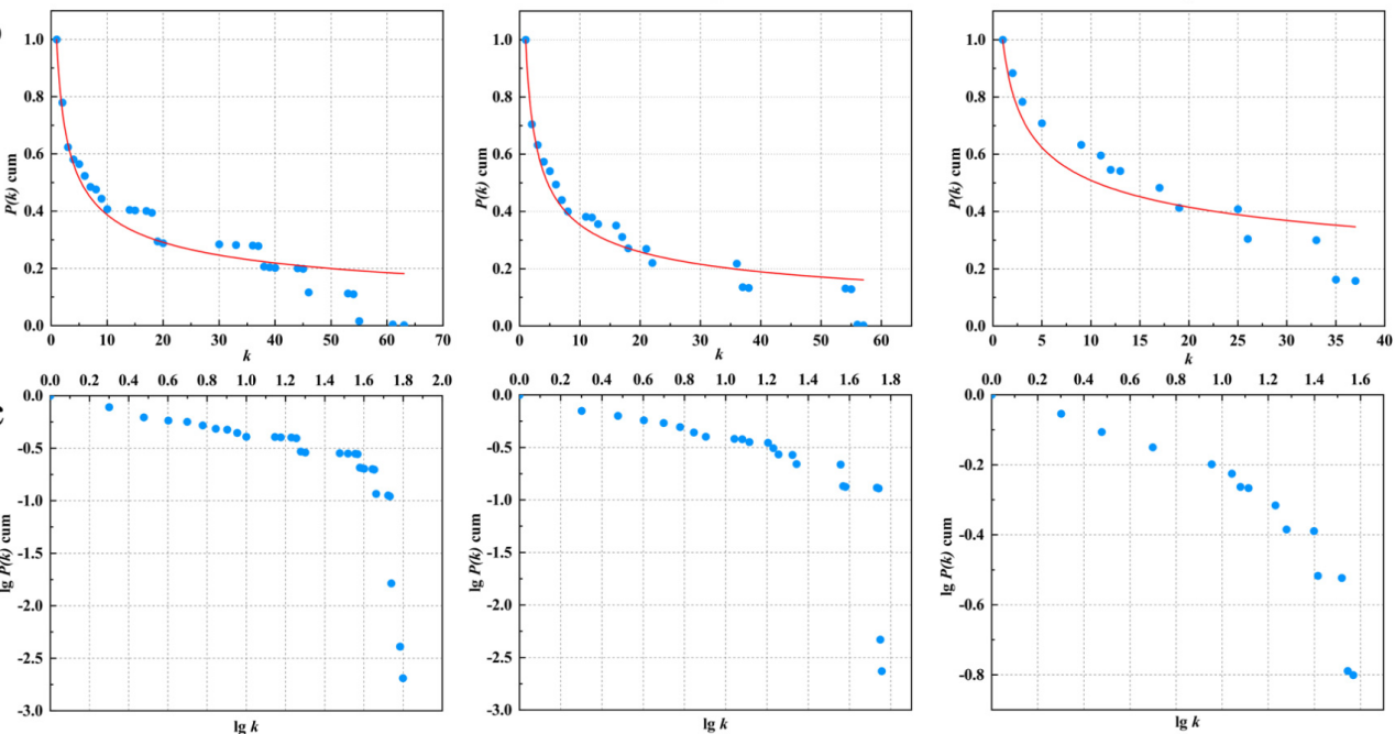
黑料网 翻译研究团队在语料库翻译学与计量语言学的交叉领域 取得重要研究进展
西安交大黑料网 举办金秋外语节日语口译大赛
黑料网 开展“强国有我,请党放心”红色观影活动
黑料网 硕1109团支部开展“碳中和讲座”团日活动
黑料网 举办通识类课程建设座谈会